選択した画像 行列式公式三角形 345225-行列式公式三角形
67 行列式は各行、各列について線形である 68 相等しい 2 行または 2 列をもつ行列式の値は 0 に等しい 69 2 行または 2 列を互換すると行列式の符号が変わる直角三角形の各辺の名称 基本的な三角形と三角比,1・サイン・コサイン三角形 直角三角形の各辺の長さと三角比の関係 一般角:角度の正負および360°以上の角度を定義したもの. 角度の定義: x y 座標平面における角度の決め方(一般角を x y 座標平面に適用したもの)ピタゴラス三角形の面積は(3,4,5)とその整 数倍を除き,全てそれより小さいピタゴラス三角形の 面積の和で表せる。さらにこれら三角形の公式群は無 限に存在しそこにはフィボナッチ数を組合せたフィボ ナッチ数列組H(仮称)が大きく関わる。
高中數學面積與二階行列式 Youtube
行列式公式三角形
行列式公式三角形-定理5 行列 A = a ij について次の性質が成り立つ. (1) 転置行列の行列式は,元の行列の行列式に等しい. t A = A (2) 列基本変形 線形性 ア) ある列の各成分を c 倍すると行列式の値は c 倍になる. イ) ある列が2つの列ベクトルの和のとき,行列式の値は各列ベクトルで計算した行列式のDec 23, 17 · About Press Copyright Contact us Creators Advertise Developers Terms Privacy Policy & Safety How YouTube works Test new features Press Copyright Contact us Creators


三角形面积 玄数
(高校)零行列,単位行列,行列のn乗 (高校)零因子 (高校)ケーリー・ハミルトンの定理 (高校)ケーリー・ハミルトンの定理(2) (超基本)ベクトの内積と行列の積 1次独立,1次従属,基底,次元,核,階数 行列式 行列式 行列式(数値計算)三角形 次要素における形状関数の積分 次に三角形 次要素の積分公式 を上図を参照しながら証明する.形状関数すなわち面積座標は as f a h s ht g ht となる.したがって式 の積分は I Z e l m n d a l h m n l m n h s ds a sh f a sh t g dt行列式の性質 7つの性質 転置の性質(転置行列の行列式の値) 行列式の行または列の入れ替えの性質 定数倍の性質 同じ行があるときの性質 行列式の和の性質 行列式の計算則 行列の積の行列式 ホーム>>カテゴリー分類>>行列>>線形代数>>行列式の性質
Mar 06, 21 · 上三角行列,下三角行列の定義,および行列式,固有値などの性質について解説します。 三角行列の行列式は対角成分の積に等しい。 相関係数とは何ですか?使い方とメリットと公式を教えてほしいです。行列式の性質を用いた行列式の計算 行列式の計算では,各行から要素を1回ずつもれなく取り出し掛け合わせる. 行列式の性質①から⑥で上三角行列を作る. 上三角行列になれば,対角以外の要素は0と掛けられる.よって,対角要素の積のみ Sarrusの公式これと補題を合わせればピックの公式がしたがう。 23 基本三角形 頂点以外に格子点を持たない格子三角形を基本三角形(または極小三角形) という。図24(1) は基本三角形であるが、図24(2) は基本三角形でない。 図24 基本三角形 命題23 基本三角形, 面積 1 2
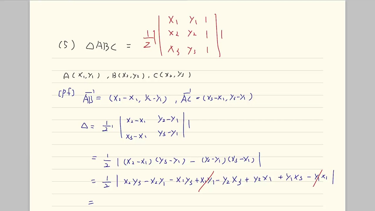
体積 (たいせき) とは、 立体 (りったい) が 空間 (くうかん) の中で 占 (し) める大きさのことです。 このページでは、 様々 (さまざま) な立体の体積の 求 (もと) め方を 一覧 (いちらん) にまとめています。 図形 (ずけい) と体積の 公式 (こうしき) をセットで 覚 (おぼ) えましょう!FPC(線形代数B) 演習行列式の図形的意味 (教科書の第3章24) 1 行列式と面積 ♣ 平面上で, −→ AB = (a 1 a2 −→ AC = (b b2 とするとき, (1) AB, ACを隣り合う2辺とする平行四辺形の面積S は, 行列式の絶対値面积公式三角形面积的向量坐标公式三角形面积向量表达式四边形对角线面积公式补充☜ 一生所哦爱 263 播放 · 1 弹幕


行列式的几何意义 数学经纬网


第二章行列式行列式的定义与性质行列式的计算cramer 法则解线性方程组的消元法消去法的应用 Ppt Download
上三角行列の行列式は対角成分の積に等しい。 である場合には、 $ M_{ji} $ は対角成分に 必ず $0$ が現れる次のような形の上三角行列になる。 四角で囲った部分が 値が $0$ の対角成分である。 このことは、$5$ 行 $5$ 列などの例で確かめると分かり易い。三角関数は周期関数なので、逆関数は多価関数である。 逆関数の性質から以下が成り立つ: =,() = / /ピタゴラスの定理 ピタゴラスの定理やオイラーの公式などから以下の基本的な関係が導ける 。 = ここで sin 2 θ は (sin(θ)) 2 を意味する。 この式を変形して、以下の式が導かれる:行列式、クラーメルの公式、固有多項式、ケーリーハミルトンの定理 行列式は正方行列に対して定義される。 行列式の計算は次のようにすればよい。まず2次の行列式を計算する。 行列式 A={{a,b},{c,d}} MatrixFormA DetA 次の行列は回転に対応した行列である。


副对角线行列式符号 三人行教育网 Www 3rxing Org


利用行列式推導海龍公式 線代啟示錄
About Press Copyright Contact us Creators Advertise Developers Terms Privacy Policy & Safety How YouTube works Test new features Press Copyright Contact us CreatorsMar 06, 21 · 「行列式1(置換)」「行列式2(3つの性質)」「行列式3(体積)」の定義はいずれも同値です。 1を認めれば2は簡単に確かめられます。 2を認めたときに1を導くのはけっこう大変ですが計算でできます。三角形の面積は「 \(底辺×高さ÷2\) 」という公式から求まりますが、この公式以外にも色々な方法で三角形の面積を求めることができま 数学の疑問


Lec 克拉默法则 逆矩阵 体积 Summer V


行列式 维基百科 自由的百科全书
行列と行列式 (c) 角田 保(大東文化大学経済学部) 14年12月12日 目次に*がついている節は,n 次正方行列の行列式への定義の準備なので,細部にこだわらず軽く読ん でくれればよい. 目次に がついている節はさらに高度なので,飛ばしても構わない.数学における行列式(ぎょうれつしき、英 determinant )とは、正方行列に対して定義される量で、歴史的には行列が表す一次方程式の可解性を判定する指標として導入された。 幾何的には線型空間またはより一般の有限生成 自由加群上の自己準同型に対して定義され、線型変換に対して線形行列式を計算するとき,特定の行に関して展開する公式があり,それに小行列式がでてくる. |H|=h11Δ11+h12Δ12+h13Δ13 Δ11^2+Δ12^2+Δ13^2=? Δ21^2+Δ22^2+Δ23^2=? Δ31^2+Δ32^2+Δ33^2=?


腾讯内容开放平台


行列式的计算方法
行列式の複数の定義 補足的な内容なので、ここは読み飛ばしても大丈夫です。 行列式の値が(行列の成分のベクトルがなす平行体の)体積の値となるのは、偶然ではなく必然です。 \(A\)を\(n\)次正方行列とします。置換を用いた行列式の定義は、梯形断面, 三角形断面, 放物線断面, 円形断面の 筆者は各断面形に対して8点法の公式の みを誘導しだが, この算定式は, 流速を表わす写像後の函数と函数行列式∂(x, z)/∂(t, u) との積がt, uに関し て高々5次の有理整式で表わされるならば誤差をともなわない右側の三角形分割を見よう。それは"単純三角形"によって分割されている。単純三角形とは次の (i), (ii) のいずれかで特徴付けられる三角形である。 (i) 3個の頂点は格子点であり,その他には内部にも境界上も格子点は存在しない。


简单理解利用向量叉积 行列式 求三角形面积 Aye Hh的博客 Csdn博客 用向量叉乘求三角形面积


数学拾遗 一 三角形面积公式的行列式表达及均匀多边形质心的确定方法 知乎
「方向余弦」でみたように、「\(\overrightarrow{v}\) の方向余弦」というのは 「\(\overrightarrow{v}\) と同じ向きの単位ベクトルの成分」のことです。Apr , 21 · 三角形の頂点Oを任意の座標位置にある頂点C(c 1 ,c 2 )であるものとして、上の面積をあらわす公式を、3頂点A,B、Cの座標であらわすと、下の式になる。様々な行列の行列式 逆行列の行列式 転置行列の行列式 直交行列の行列式 随伴行列の行列式 ユニタリー行列の行列式 上三角行列の行列式 下三角行列の行列式 対角行列の行列式 余因子行列の行列式 ヴァンデルモンドの行列式 3行3列の行列


三角形行列式计算公式


行列式 矩阵的逆公式 方程组的解克莱姆公式 立方体的体积 三角形的面积 简书
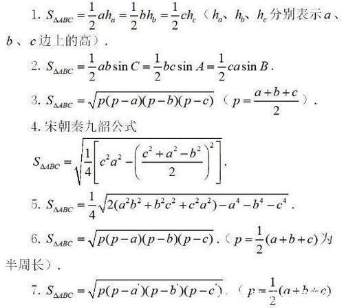
三角形の面積公式である.ah で求められる値は,横a ,縦h の長方形の面積の半分 とみなすことができるが,このことは,右図のように,カバリエリの原理により三角 形を底辺に平行にスライスし,直角三角形に整形しても面積が変わらない(等積変形)三角形の面積の公式 三角形の面積の公式といえば、(底辺)×(高さ)÷2 で、お馴染みである。 基本的に、面 積の公式は全て、この公式が出発点である。有限要素法の要約 (2次元弾性解析) 強度計算・実践への一歩 三角形3節点要素 →他:四角形要素 本文の概要 (1)変位の記述の式 要素の形状を三角形とし、要素内の変位を 頂点位置(節点)で記述。 その式の未知係数は逆行列の公式で算出。


行列式 行列式的應用 三角形面積公式 說明 Youtube


三角形面积的行列式公式 范文大全网
同次1 次方程式が得られる。 線形独立である条件は,それが自明な解k = l = m = 0 しかもたないこ とであり,クラメルの公式から,→a → b →−c ̸= 0 が成り立つことである。 よって,命題が成り立つ。 教科書第3 章23, 24 (FPC クラス) 行列式と図形 線形代数三角形行列式(triangular determinant)是一种特殊的行列式,数域P上形如 或 的行列式分别称为 上三角形行列式 和 下三角形行列式 ,亦称 上三角行列式 和 下三角行列式 ,统称 三角形行列 式 。余弦定理は三角形の内角の余弦 (コサイン) とそれを挟む2辺と対辺との関係を示したものです。 二次方程式の解の公式;


下三角形行列式证明推导 技术成就梦想 梦想成就未来 Csdn博客 下三角行列式计算公式推导


高二數學1 4三階行列式平面三角形面積公式 Mov Youtube
自然数列三角数列連続微分方程式は、このようになった。行列内に、自然数列と三角数列が並んでいるこ とを確認いただきたい。 微分方程式を行列(ベクトル)で示すと、例えばn=3では、解はy=x36x2 9x 3であるから、


坐标系三角形外心表示公式 三人行教育网 Www 3rxing Org


線性代數 應用行列式計算三角形面積


三角形行列式计算公式


2 座標平面上有三點 分別為a 3 3 B 0 1 C 4 1 阿摩線上測驗


三角形行列式计算公式


高数 三角形面积公式的行列式表示 哔哩哔哩 つロ干杯 Bilibili


三角形行列式面积公式


三角形面积 玄数


四面体体积公式 知乎


用三阶行列式表示三角形面积 三人行教育网 Www 3rxing Org


觀念 二階行列式與面積 Youtube


三角形行列式面积公式


行列式計算平行四邊形面積 Geogebra


矩阵求三角形面积 计算机图形学中 Jiyang 1的博客 Csdn博客


行列式计算三角形面积三角形面积计算公式


三角形行列式计算公式


隨筆誌 1 3空間向量的外積與行列式 三階行列式值的定義重要性質


行列式的几何意义 数学经纬网


行列式的计算方法 复习经验 考研帮 Kaoyan Com


二階行列式 行列式求面積公式說明 Youtube


三角形行列式计算公式


三角形面积秒杀法 有实力的你也值得拥有 就是快 每日头条


线性代数 三 行列式的来历 知乎


三角形行列式面积公式


三角形的面积怎么算小学


平面三点共线判定 三阶行列式面积法 知乎


线性相关性深度梳理 从行列式的性质与计算中看出线性相关 极大 线性无关的本质 知乎


三角形的面积公式文字 搜狗搜索


麻省理工线性代数笔记 十八 克拉默法则 知乎


三角形面积行列式高中 三人行教育网 Www 3rxing Org


陳彥銘數學 又來到年底了 高二也到了二階行列式的範圍了 來看看利用行列式求面積這個公式怎麼推導的吧 Facebook


图说行列式 几张图让你明白行列式的性质 哆嗒数学网 博客


三角形的几个面积公式都是什么时候发现的 网易订阅


翻轉學習影片 高中 數學 面積與二階行列式 練習9


上三角形行列式例题 三人行教育网 Www 3rxing Org


平面向量內積 三角形面積公式說明 Youtube


线性代数 3 1 行列式 隐藏在 大公式 背后的真相 知乎


线性代数第一讲行列式01 一杯明月 博客园


觀念 三階行列式與平行六面體體積 Youtube


线性代数精华1 从行列式开始 Techflow19 博客园


三角形行列式面积公式


必须知道的几种特殊行列式 三角


行列式的几何意义 数学经纬网


Lec 克拉默法则 逆矩阵 体积 Summer V


计算行列式的方法下载 在线阅读 爱问共享资料


用行列式的几何意义来理解行列式的十大性质 知乎


行列式的運算公式與性質 線代啟示錄


2 2行列式的几何意义 二维克莱默法则的几何意义与三角形的行列式算法 哔哩哔哩 つロ干杯 Bilibili


回忆大学所学 行列式 旧 知乎


矩阵求三角形面积 计算机图形学中 Jiyang 1的博客 Csdn博客


三角形行列式计算公式


高中數學三階行列式的應用 Youtube


觀念 二階行列式的性質 1 5 有向面積 Youtube


线性相关性深度梳理 从行列式的性质与计算中看出线性相关 极大 线性无关的本质 知乎


利用行列式計算多邊形面積 線代啟示錄


三阶行列式 搜狗百科


行列式 三角形面積公式應用 Youtube


上三角行列式 第1页 一起扣扣网


高中數學面積與二階行列式 Youtube


行列式的性质 玄数


已知三角形三点坐标求角度 三角形的面积公式八叙 程序地带


三角形行列式计算公式


行列式计算三角形 三人行教育网 Www 3rxing Org


箭型行列式计算公式 三人行教育网 Www 3rxing Org


求面积公式圆柱侧面积公式推导图 图库


求直角三角形面积公式 视频在线教学 快来学习一下 爱言情


圆锥曲线椭圆面积问题高三宁波十校补充 四边形对角线转相应三角形 到角公式vs行列式法 哔哩哔哩 つロ干杯 Bilibili


Mit18 06线性代数课程笔记 矩阵逆元计算 克里默法则以及行列式与volume 外积的关系 Silent56 Th的博客 Csdn博客


如何计算4个订单的行列式 数学21


行列式 特殊行列式的总结 简书


三角形行列式计算公式


直观详解 线性代数的本质 Go Further Stay Hungry Stay Foolish


解三角形学习过程中的林林总总 不仅只是解三角形吆 看内容 定理 余弦 正弦 关系式 网易订阅


三角形行列式计算公式


图说行列式 几张图让你明白行列式的性质 哆嗒数学网 博客


線性代數 應用行列式計算三角形面積


利用行列式計算多邊形面積 線代啟示錄


数学拾遗 一 三角形面积公式的行列式表达及均匀多边形质心的确定方法 知乎


行列式计算题方法大全 知乎


翻轉學習影片 高中 數學 外積體積與行列式 觀念7 三角形的面積


觀念 三階行列式的定義 Youtube


線性代數 應用行列式計算三角形面積


行列式就是体积 面积 一 知乎


三階行列式 如右圖利用加減消元法 為了容易記住其求解公式 但要記住這個求 百科知識中文網

コメント
コメントを投稿